728x90
반응형
물리학(物理學)에서는 질량(質量)의 단위로서 4℃일 때의
순수한 물 1000cc의 질량(質量)을 1kg 으로 정의하였고,
1kg의 질량(質量,kgm)에 작용하는 중력(重力)의 힘은 다음
식과 같다.
1(kgm)×9.8(m/sec^2) = 9.8(kgm.m/sec^2) = 9.8 (Newton)
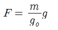
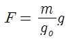
공학단위계(工學單位系)에서는 1kg의 질량(質量)에 작용하는
중력(重力)을 1kg의 힘(kgf)으로 정의하였으므로, 뉴턴(Newton)의
관성법칙(慣性法則)을 공학단위계(工學單位系)로 표시하면 다음
식과 같다.

F : 힘(kgf)
m : 질량(質量,kgm)
g : 지구중력가속도(地球重力加速度,m/sec^2)
go : 중력환산계수(重力換算係數,9.8(kgm.m/sec^2.kgf)
유체역학(流體力學)에서는 공학단위계(工學單位系) 계산식에서의
혼잡을 피하기 위하여 m/go를 묶어 질량(質量)으로 간주한다.
그러므로 질량(質量)의 단위(單位)는 kgf.sec^2/m가 된다.
여기서 편리성을 고려하여 kgf를 kg으로 생각하면 kg.sec^2/m로
나타낼 수 있다.
'기술' 카테고리의 다른 글
| 치차(Gear) 전동일때의 하중 및 계수 (0) | 2021.09.23 |
|---|---|
| 펌프(pump)의 분류(分類) (0) | 2021.09.23 |
| 벨트텐션 및 계수 (0) | 2021.09.16 |
| 벨트.체인 전동일때의 하중 및 계수 (0) | 2021.09.16 |
| 기계부품용 철강재료(鐵鋼材料)의 선택시 요구되는 사항 (0) | 2021.09.15 |