* Wheel shaft calculation of trolley drive (Indoor EOC)

* Max. wheel load : Pmax = ton
(Refer to wheel dia. calculation : wheel load)
* Trolley drive motor power : Pu = kw
* Trolley drive motor rpm : N = rpm
* Trolley drive reducer gear ratio : i = 1/
* Wheel shaft dia : D = cm
(Inclusion keyway)
* Wheel shaft dia : d = cm
(Exclusion keyway)
* Wheel shaft length : c = cm
* Wheel boss breadth : b = cm
* Wheel both side breadth : a = cm
* Working factor : f =
* Speed factor : Xb =
* Notch factor(for bending) : ß =
* Notch factor(for torsion) : ß’ =
* Used material(KS,JIS,ASTM,DIN,BS) :
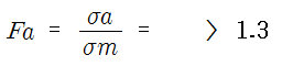
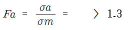
* Tensile strength : 𝞂a = ton/cm2
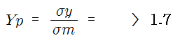
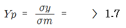
* Yield strength : 𝞂y = ton/cm2
* Reaction force of wheel shaft

* Max. bending moment

* Driving torque

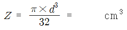
* Modulus of section

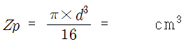
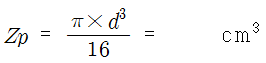
* Polar modulus of section

* Bending stress

* Shear stress

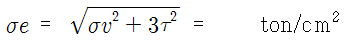
* Combined stress

* Mean stress

* Fatigue check

* Yield point check

( Calculated value )

'크레인 계산서' 카테고리의 다른 글
| Wire rope drum bearing calculation of hoisting device (Indoor EOC) (0) | 2021.09.13 |
|---|---|
| Wire rope drum calculation of hoisting device (Indoor EOC) (0) | 2021.09.13 |
| Wheel shaft calculation of bridge drive (Indoor EOC) (0) | 2021.09.12 |
| Wheel dia. calculation of trolley drive (Indoor EOC) (0) | 2021.09.11 |
| Wheel dia. calculation of bridge drive (Indoor EOC) (0) | 2021.09.11 |