728x90
반응형
* 강관의 두께 계산식 (The thickness calculation formula for steel pipes)
-고압가스안전관리법(高壓Gas安全管理法)
1. 규격(規格)
고압가스안전관리법(高壓Gas安全管理法)
일본 통상산업성 고시(日本 通商産業省 告示)
第354号 38年 4月 10日 第4條
2. 두께의 계산식(Thickness 計算式) 및 기호설명(記號說明)
1) 외경/내경(外徑/內徑)이 1.2 미만(未滿)인것

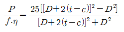
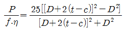
2) 외경/내경(外徑/內徑)이 1.2 이상(以上)인것

3. P/S로 표시(表示)한 경우(境遇)
1) 외경/내경(外徑/內徑)이 1.2 미만(未滿)인것

2) 외경/내경(外徑/內徑)이 1.2 이상(以上)인것
