728x90
반응형
* 강관의 두께 계산식 (The thickness calculation formula for steel pipes)
-ASA B 31.3-1959 Petroleum Refinery Piping 304.1
1. 규격(規格)
ASA B 31.3-1959 Petroleum Refinery Piping 304.1
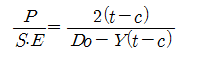
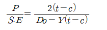
2. 두께의 계산식(Thickness 計算式) 및 기호설명(記號說明)

3. P/S로 표시(表示)한 경우(境遇)
