* Bridge drive(travelling) speed(min) : V = m/min
* Bridge drive(travelling) speed(sec) : Vs = m/sec
* Rated load : R = ton
* Hook(attachment) weight : A = ton
* Trolley self weight : T = ton
(trolley frame & trolley drive & hoisting device & acc.)
* Bridge self weight : B = ton
(girder & saddle(rocker) & bridge drive & acc.)
* Bridge wheel dia. : Dw = cm
* Bridge wheel shaft dia. : Ds = cm
* Mechanical efficiency : Em = (Refer to wheel bearing)
* Journal friction coefficient : µ =
* Additional resistance bearing : a =
* Acceleration time : ta = sec
* GD2 ratio (total GD2 / linear moving part GD2) : ß =
* Used motor power : Pu = kw x set
* Bridge wheel resistance

* Running power

* Acceleration power

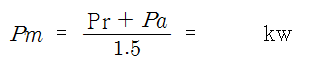
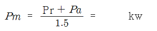
* Required motor power

( Calculated value )
* Required motor power Pm = kw x set < Pu = kw x set
'크레인 계산서' 카테고리의 다른 글
| Motor power calculation of trolley drive (Indoor EOC) (0) | 2021.09.09 |
|---|---|
| Motor power calculation of hoisting device (Indoor EOC) (0) | 2021.09.09 |
| Coupling torque (output) calculation of bridge drive (Indoor EOC) (0) | 2021.09.09 |
| Coupling torque (input) calculation of bridge drive (Indoor EOC) (0) | 2021.09.09 |
| Braking torque calculation of trolley drive (Indoor EOC) (0) | 2021.09.09 |