728x90
반응형
* Section properties calculation of girder box (Indoor EOC)

* Flange thickness : t2 = cm
(Upper & lower)
* Flange breadth : C = cm
(Upper & lower)
* Flange outside distance(height) : A = cm
* Flange inside distance(height) : A’ = cm
* Web thickness : t1 = cm
* Web outside distance : B = cm
* Web inside distance : B’ = cm
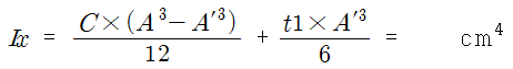
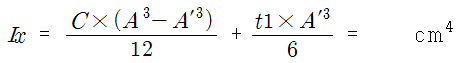
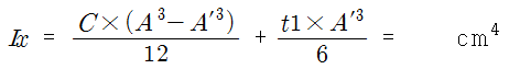
* x - x
∎Second moment of area (Geometrical moment of inertia)

∎Modulus of section

* y - y
∎Second moment of area (Geometrical moment of inertia)

∎Modulus of section

'크레인 계산서' 카테고리의 다른 글
| Wheel dia. calculation of bridge drive (Indoor EOC) (0) | 2021.09.11 |
|---|---|
| 단위환산(SI단위로의 변환에서 단위의 환산율표) (0) | 2021.09.11 |
| Motor power calculation of trolley drive (Indoor EOC) (0) | 2021.09.09 |
| Motor power calculation of hoisting device (Indoor EOC) (0) | 2021.09.09 |
| Motor power calculation of bridge drive (Indoor EOC) (0) | 2021.09.09 |