728x90
반응형
* 원통 코일스프링 설계(圓筒 Coil Spring 設計)의 기본계산식(基本計算式)
⦿ 원통 코일스프링 설계기준(圓筒 Coil Spring 設計基準)에 따른 기준(基準)
(KS B 2400-76, JIS B 2704-1962 參考)
일반적(一般的)으로 사용(使用)하는 압축 코일스프링(壓縮 coil spring)
또는 인장 코일스프링(引張 coil spring)에서 원형단면(圓形斷面)의
재료(材料)를 사용(使用)하여 열간(熱間) 또는 냉간(冷間)에서 성형(成形)
되는 원통 코일스프링(圓筒 coil spring)의 설계기준(設計基準)에 대하여
규정(規定)한다.
⦿ 원통 코일스프링(圓筒 coil spring)의 설계 기본계산식(設計 基本 計算式)
1. 스프링의 처짐량(spring deflection)

2. 스프링 정수(spring constant-定數)

3. 비틀림 응력(torsional stress-應力)

4. 비틀림 수정응력(torsional correction stress-修正應力)

5. 스프링(spring)에 축적(蓄積)되는 에너지(energy)

6. 응력수정계수(應力修正係數) & 스프링지수(spring指數)

7. 유효감김수(有效卷數)

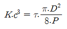
8. 재료의 직경(材料 直徑)

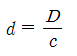
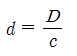
⦿ 계산식 기호(計算式 記號)


'기술' 카테고리의 다른 글
| 원통 코일스프링 재료(圓筒 Coil Spring 材料)의 횡탄성계수(橫彈性係數) (0) | 2022.05.27 |
|---|---|
| 원통 코일스프링 재료 (圓筒 Coil Spring 材料) (0) | 2022.05.26 |
| 코일스프링 재료(Coil Spring 材料)의 수정계수(修正係數) (0) | 2022.03.02 |
| 코일스프링 재료(Coil Spring 材料)의 전단탄성계수(剪斷彈性係數) (0) | 2022.03.01 |
| 코일스프링 재료(Coil Spring 材料)의 허용전단응력(許容剪斷應力)-Piano Wire(引張 or 壓縮) (0) | 2022.02.28 |