728x90
반응형
* 코일스프링 전단응력(Coil Spring 剪斷應力) 및 휨(彎曲)의 계산식(計算式)
⦿ 선박 기관부 코일 스프링 기준 (船舶 機關部 Coil Spring 基準)
(KS B 8305-75, JIS F 0503-1960 參考)
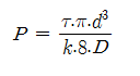
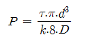
1. 전단응력 계산식(剪斷應力 計算式)

2. 휨 계산식(彎曲 計算式)

3. 압축 또는 인장하중 계산식(壓縮 or 引張荷重 計算式)

4. 1mm 압축(壓縮)하는데 요(要)하는 하중 계산식(荷重 計算式)

